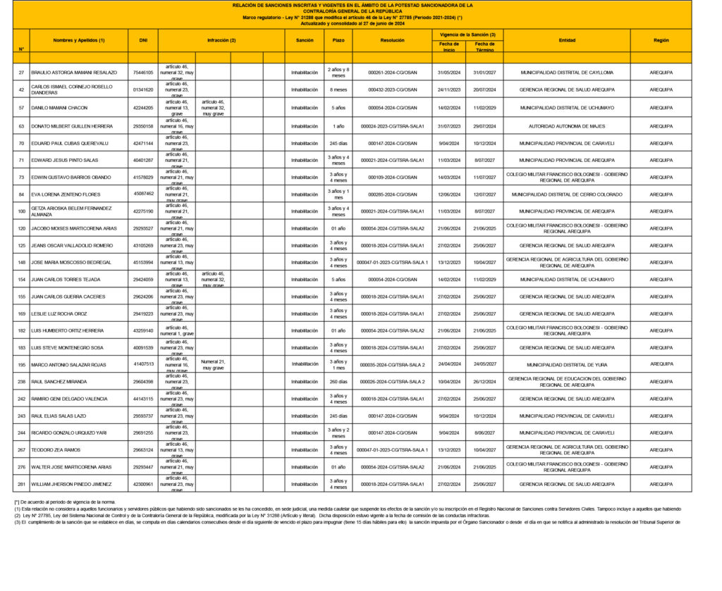
Más de 20 servidores arequipeños están en la lista negra de la Contraloría
Por Erika Romero Díaz
Listado corresponde a las sanciones inscritas en Servir hasta el 17 de junio de 2024.
PERJUICIO ECONÓMICO OCASIONADO ES DE S/ 3 279 286
Veinticinco funcionarios arequipeños figuran en la lista negra de la Contraloría General de la República, sobre ellos ya hay una sanción administrativa impuesta, algunos volverán a las entidades en que realizaron las acciones que les significaron su inhabilitación temporal. Otros tendrán que esperar incluso hasta el 2029 para que su castigo sea levantado.
MALOS EJEMPLOS
La relación de servidores castigados inicia con Braulio Astorga Mamani Resalazo, quien prestaba servicio en la Municipalidad Distrital de Caylloma, él ha sido inhabilitado por el plazo de 2 años 8 meses, tiempo que ha empezado a correr desde el 31 de mayo de este año y culminará el 31 de enero de 2027.
El castigo para Astorga es el resultado del informe de control que halló responsabilidad en 4 funcionarios a cargo de la ejecución del saldo de obra de la rehabilitación de trocha carrozable Jachaña, en el distrito de Caylloma. Más allá del monto del perjuicio son las acciones indebidas las que importaron al momento de aplicar la sanción para Astorga y a otras 3 personas que permitieron la inclusión de personal «fantasma» en las planillas de trabajo.
Los auditores ubicaron a los supuestos obreros contratados: Jaime Eliseo Velásquez Llacho, Nataly Margot Zúñiga Delgado, Yajaira Natividad Condorcahuana Delgado, Exaltación Choquehuanca Zanca (peones), todos ellos dijeron que no laboraron en esa obra.
Llama la atención la respuesta de la última entrevistada que no sabe cómo fue que sus datos personales llegaron al municipio porque ella nunca los dio.
En tanto, en la Municipalidad Distrital de Uchumayo se registró un hecho irregular que terminó con la separación de 5 años del servidor Danilo Mamani Chacón, quien se desempeñaba como subgerente de Obras Públicas y Proyectos de la citada comuna.
Los hechos están relacionados con la ejecución de la obra denominada Rehabilitación de la Av. José Carlos Mariátegui Mz. A12 y Construcción del Malecón José C. Mariátegui Mz. A18 de la Urb. El Carmen cuyo plazo fue de 120 días.
A Mamani Chacón se le cuestiona el haber dado luz verde a las ampliaciones de plazo de 30 y 24 días a favor del contratista de la obra cuando lo que le correspondía era, ciertamente dar las ampliaciones solicitadas, pero por una cantidad menor de días. La conducta desplegada por el servidor estatal ocasionó un perjuicio económico para el Estado de S/ 47 773.
Mamani podrá volver a laborar para el Estado el 11 de febrero de 2029.
En la Autoridad Autónoma de Majes (Autodema), ocurrió una irregularidad relacionada con el Mejoramiento del Servicio de Agua en el Sistema de Riego 3R C2, distrito de Pampa de Majes con la finalidad de incrementar la producción agrícola en el subsector 3R C2 de la Irrigación Majes beneficiando a 1254 personas.
“En los años 2018, 2019 y 2021 funcionarios de la Entidad dieron conformidad y aprobaron los servicios de elaboración y reformulación del expediente técnico de la obra, pese al incumplimiento de los términos de referencia, así como inconsistencias técnicas del entregable, imposibilitando la ejecución de la obra y afectando el correcto uso de los recursos públicos al generar un perjuicio de S/ 67 110″. Uno de los funcionarios cuestionados es Donato Milbert Guillén Herrera que estaba a cargo de la Subgerencia de Operación y Mantenimiento. Se cese terminó el 29 de julio de este año.
Mientras que en diciembre de este año termina la sanción impuesta a Eduardo Cubas Querevalu, la inhabilitación ha quedado registrada en el portal web de Servir y está asociada al incremento remunerativo para CAS cargos de confianza y CAS a plazo indeterminado que generó un perjuicio de 90 mil 253 soles. Cubas estaba contratado en la Oficina de Asesoría Jurídica de la Municipalidad Provincial de Caravelí.
“Por emitir y suscribir el Informe Legal n.° 024-2022-OAJ-MPC de 26 de enero de 2022, mediante el cual informó que la Entidad no cuenta con dispositivo que regule la escala remunerativa del régimen especial laboral regulado por el D.L. 1057”, se lee en el informe. No obstante, también se agrega que la institución si contaba con mecanismo que regulaba la remuneración del personal de confianza; y en cuanto al personal CAS a plazo indeterminado, tenía su remuneración fijada en su respectivo contrato suscrito.
INAPLICACIÓN DE PENALIDAD
En la Municipalidad Provincial de Arequipa (MPA) se ocasionó un perjuicio de 684 mil 807 soles porque se aprobó en dos oportunidades una misma solicitud de ampliación de plazo en la obra denominada Mejoramiento del servicio de transitabilidad vehicular y peatonal en toda la Av. Progreso en Miraflores.
Se da cuenta que el problema empezó con las ampliaciones 3 y 4. La primera se acordó la suspensión de su aprobación y la otra se autorizó en 2 oportunidades. A decir de la Contraloría, el responsable de este hecho es Edward Jesús Pinto Salas y por ello ha sido sancionado por 3 años y 4 meses, el castigo terminará el 8 de julio de 2027. Pinto fue el gerente de Desarrollo Urbano de la MPA.
El denominador común en los casos relatados es que se despilfarra dinero del Estado, que proviene de los impuestos pagados por los peruanos, y no se supera las brechas socioeconómicas existentes en la región Arequipa.

